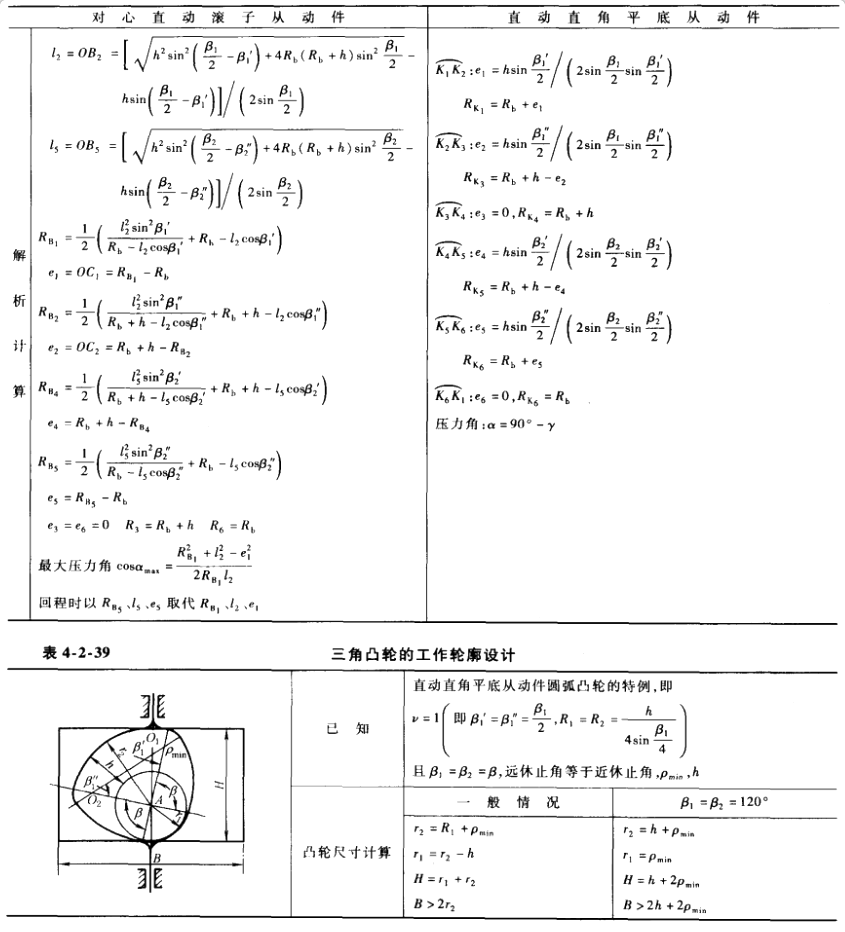
基本机构设计
伊莱特
TURCK·图尔克
amico·埃美柯
正河源
YASKAWA·安川
众为兴
EMERSON·艾默生(AFAG)
delta·台达
Swgelok·世伟洛克
Leuze·劳易测
Comau·柯马
Flender·弗兰德
回顶部
微信扫码分享